Το Σαββατοκύριακο 27 και 28 Απριλίου έγινε ο 2ος και 3ος αγώνας για το Πανελλήνιο Πρωτάθλημα ENDURO και ΚΥΠΕΛΛΟ ENDURO 2024 στην Σπάρτη που διοργάνωσε το αθλητικό σωματείο ΑΜΟΣ
2ος Αγώνας Πανελλήνιο Πρωτάθλημα ENDURO 2024
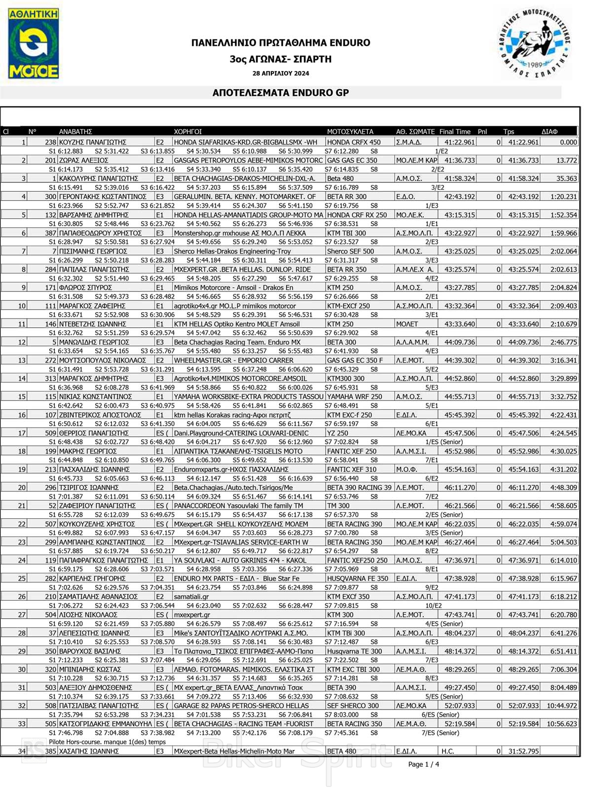
3ος Αγώνας Πανελλήνιο Πρωτάθλημα ENDURO 2024
ΚΥΠΕΛΛΟ ENDURO 2024
Randomizer
Related Posts
2024: Μια χρονιά με GET ON THE GAS και READY TO RACE επιτυχίες για το Enduro Team MIMIKOS MOTORCORE!
ΑΠΟΤΕΛΕΣΜΑΤΑ 6ος Αγώνας Πανελλήνιο Πρωτάθλημα ENDURO και 4ος Κυπέλλου Ελλάδας 2024 στους Άγιους Θεοδώρους
2ο GERANEIA EXTREME ENDURO στις 12-13 Οκτωβρίου στους Αγίους Θεοδώρους – ΕΙΔΙΚΟΣ ΚΑΝΟΝΙΣΜΟΣ – VIDEO
2ος-3ος Αγώνας Πανελλήνιο Πρωτάθλημα ENDURO και ΚΥΠΕΛΛΟ ENDURO 2024 – Σπάρτη – ΕΙΔΙΚΟΣ ΚΑΝΟΝΙΣΜΟΣ
Τριπλό βάθρο για τη Beta Chachagias Racing Team στα Τρίκαλα
1ος αγώνας για το Πανελλήνιο Πρωτάθλημα Enduro και Κύπελλο Enduro 2024 στο Ρίζωμα Τρικάλων 07/04/2024 – ΕΙΔΙΚΟΣ ΚΑΝΟΝΙΣΜΟΣ